为了方便各位同学查找,小编整理了高中三年的数学必背公式,各位同学可以灵活使用,为自己的数学科目夯实根基。

数学虽然是一门操作性较强的科目,但是每道题都需要根据公式进行推导,然后得出最后结果,小编整理了高中数学常用公式和结论,若各位同学的分给数学科目的时间不够充裕,小编也整理了简略版的高中数学必背公式,各位同学请看。
简略版高中三年数学必背公式








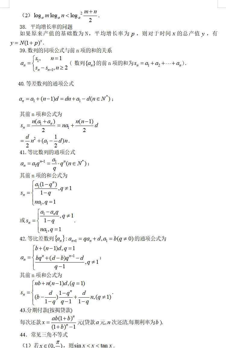
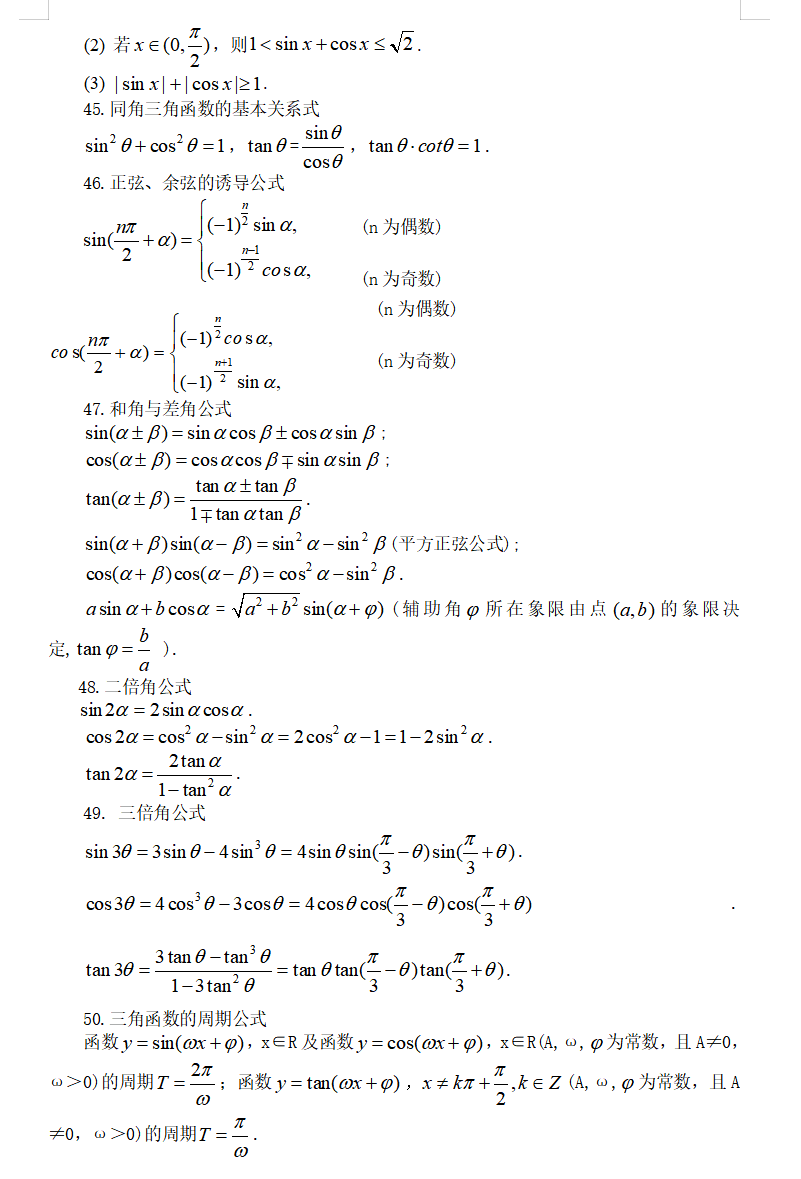
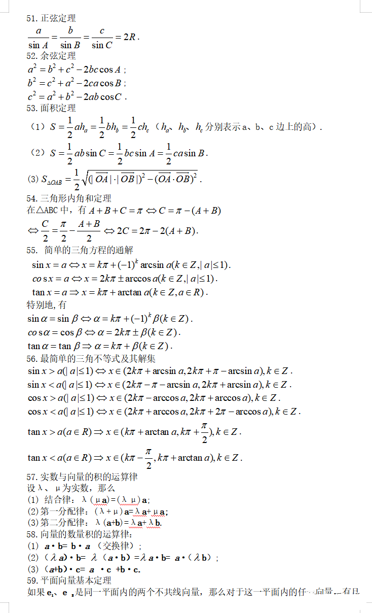
高中数学常用公式及结论


















上述就是小编整理了高中三年中,需要背诵的全部数学公式即推导。对于提升数学成绩来讲,牢记公式并学会使用是最方便快捷的方法,小编也向各位同学传授以下几个方法,希望对各位同学有所帮助。
1.整理错题。将反复做错的题整理出来,查找错误的根本原因,是公式掌握不完全,还是粗心大意导致的题干理解错误。
2.整理考点。一般情况下,高考的考试大纲都是会提前公布的,各位同学可以根据大纲,将考点罗列出来,再查漏补缺后,多刷题,达到“临阵磨枪,不快也光”的效果。
3.适时放弃。对于部分成绩较好的同学来说,每次攻破数学试卷最后两道大题,多获得的成就感都是很强烈的,但是考试就是学生的战场,打败了谁不是最重要的,获胜才是最重要的,所以可以适时放弃一些难度较高的题,将精力聚焦在更有把握的题目上。