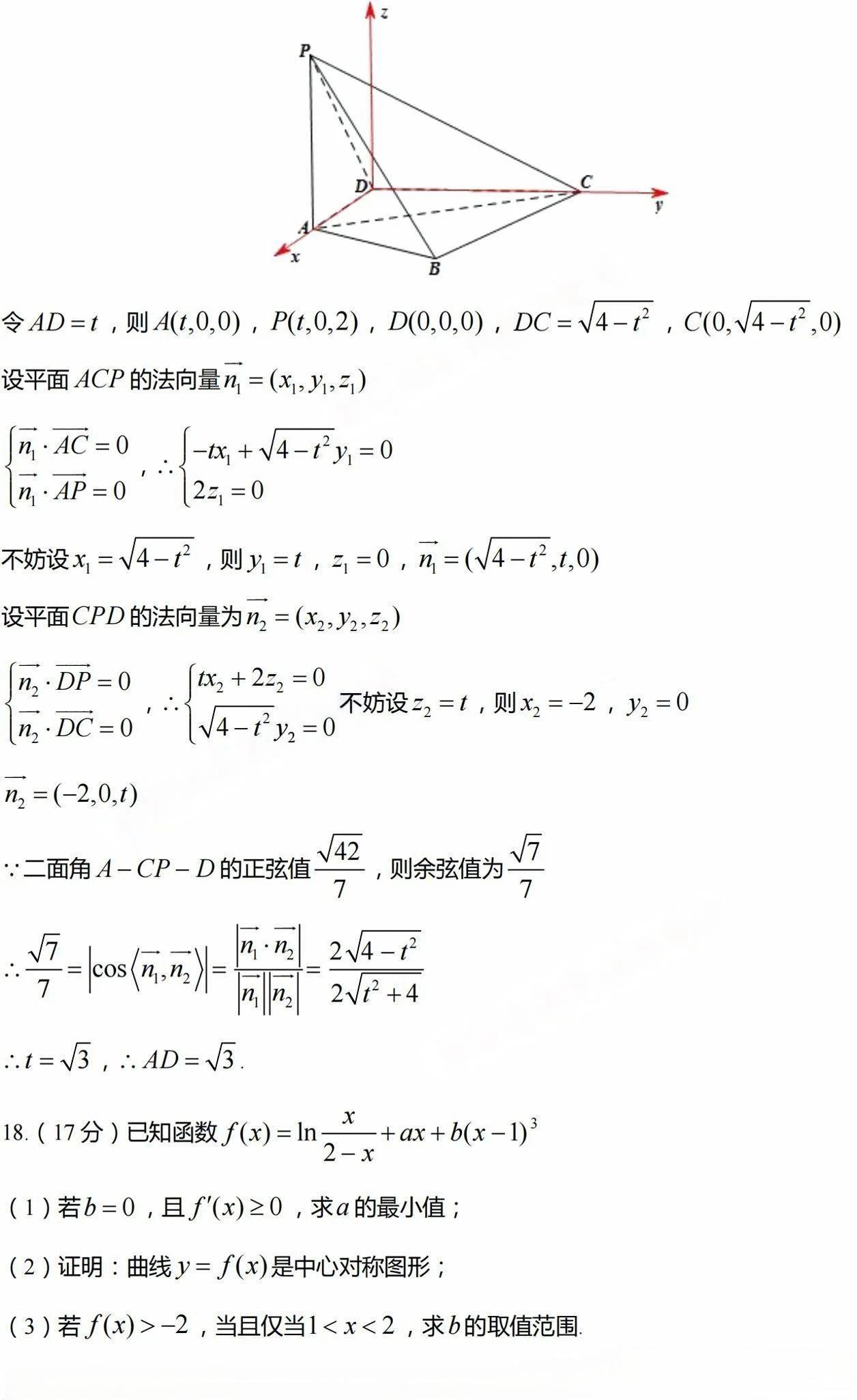
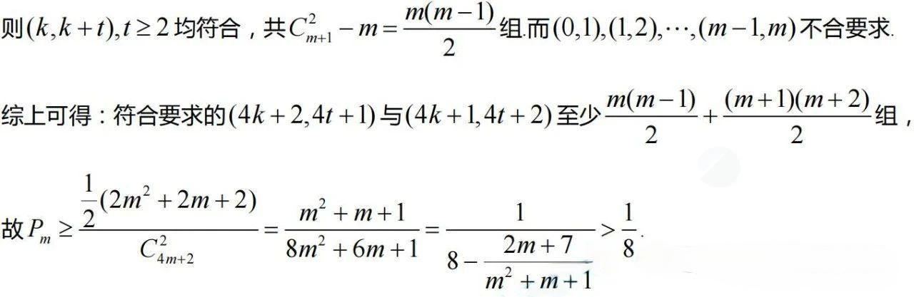
2024年新高考一卷数学考试于6月8日下午17:00顺利结束,本次考试涉及的省份江苏、浙江、山东、河北、广东、福建、湖北、湖南、安徽和江西等地。我们将在本文为大家详细解析2024年新高考一卷数学答案及试卷真题。

一、2024年新高考一卷数学试卷
2024年新高考一卷数学试卷延续了近年来的命题风格,注重对考生综合能力的考查。试卷内容涵盖以下几个部分:
1.选择题:主要考查基础知识和数学常识,题型包括数列与数论、函数与方程、几何与代数等。
2.填空题:考查考生对基本数学概念和公式的掌握及应用能力,涉及初等函数、概率统计、解析几何等内容。
3.解答题:通过复杂的问题情境,考查考生的数学建模与解题能力,涵盖微积分、线性代数及其他高级数学内容。
4.综合应用题:通过实际问题情境,考查考生的综合应用数学知识解决问题的能力,注重逻辑思维和推理过程。





二、2024年新高考一卷数学答案
为了帮助考生们及时进行估分,我们将在试卷发布后尽快收集并上传2024年新高考一卷数学的详细答案。请考生们持续关注我们的更新,我们将竭尽全力为大家提供最准确和详尽的答案解析。


















三、2024年高考后志愿填报建议
2024年高考结束后,志愿填报成为考生和家长们关注的焦点。为了帮助大家科学合理地进行志愿填报,以下是一些建议:
1.了解高校和专业
提前了解各高校和专业的基本情况,结合自己的兴趣和优势,选择合适的志愿。
2.关注分数线
根据自己的成绩,参考往年的录取分数线,合理填报志愿,避免盲目冲高或保守。
3.考虑地域和发展前景
选择学校时,不仅要考虑学校的名气,还要考虑所在城市的发展前景和生活成本。
4.多渠道获取信息
利用网络、招生咨询会等多种渠道获取最新的志愿填报信息,确保信息的准确性和时效性。