在山东省招生的警校包含山东警察学院、中央司法警官学院等。本文将为2026年想要报考警校的山东考生介绍:提前批公安类专业的报考时间、录取要求及流程图,供大家参考!

一、山东警校提前批报考时间流程图
以下流程参考2025年山东警校提前批报考安排,2026年具体时间以山东省教育考试院及招生院校官方通知为准。各环节环环相扣,考生需提前做好准备,避免遗漏关键节点。
6月26日前:查分、位次号及一段线。
6月26日-7月1日:提交考察申请及材料。
6月29日:志愿填报。
6月30日下午:查询是否入围。
6月30日-7月1日:综合测评预约与缴费。
7月2日-7月5日:面试、体检、体测。
7月8日:合格考生名单上报。
7月12日:查询录取结果,同时公布第2次志愿剩余计划。

二、山东警校提前批录取分数线
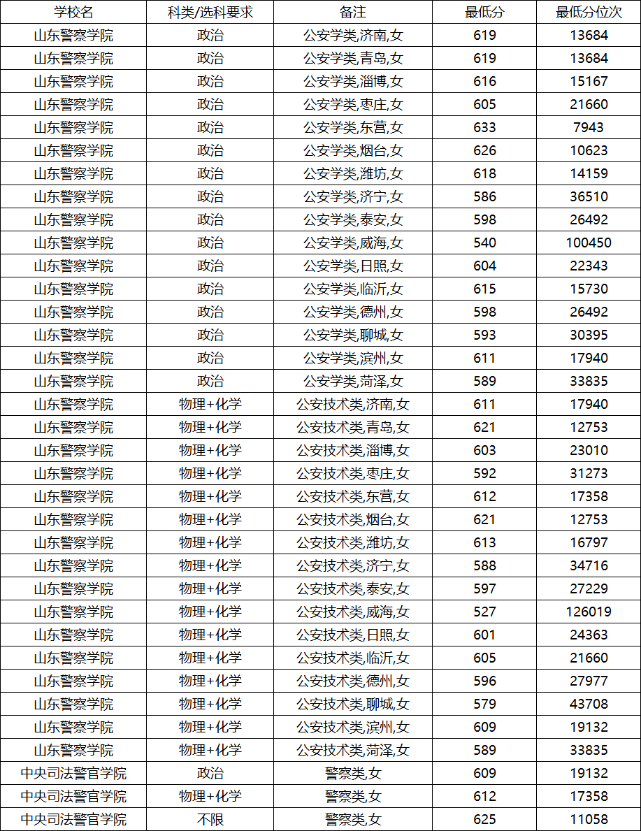
以下为中央司法警官学院、山东警察学院、中国刑事警察学院2025年在山东本科提前批公安类专业录取最低分及位次,按性别分类整理。
(一)女生录取分数线及竞争分析
女生报考警校提前批竞争尤为激烈,整体录取分数偏高,尤其是历史+政治、物理+化学等选考组合的公安学类、公安技术类专业,位次要求靠前。
1、中央司法警官学院、山东警察学院

2、山东司法警官职业学院
刑事执行(不限)(司法行政警察类,女):最低509分、位次是165966
刑事侦查技术(不限)(司法行政警察类,女):最低505分、位次是175449
司法信息安全(不限)(司法行政警察类,女):最低498分、位次是192147
行政执行(不限)(司法行政警察类,女):最低500分、位次是187310
3、中国刑事警察学院
公安情报学(政治)(公安学类,女):最低626分、位次是10623
涉外警务(政治)(公安学类,女):最低625分、位次是11058
侦查学(政治)(公安学类,女):最低629分、位次是9387
网络安全与执法(物理+化学)(公安技术类,女):最低635分、位次是7293
刑事科学技术(物理+化学)(公安技术类,女):最低634分、位次是7628
数据警务技术(物理+化学)(公安技术类,女):最低632分、位次是8259
警犬技术(政治)(公安学类,女):最低631分、位次是8601
(二)男生
男生报考竞争强度低于女生,尤其是国家专项计划方向分数优势明显。但热门专业(如网络安全与执法、刑事科学技术等核心专业)仍需较高分数位次支撑。
1、中央司法警官学院、山东警察学院

2、山东司法警官职业学院
刑事执行(不限)(司法行政警察类,男):最低495分、位次是199422
刑事侦查技术(不限)(司法行政警察类,男):最低484分、位次是226644
司法信息安全(不限)(司法行政警察类,男):最低478分、位次是241814
行政执行(不限)(司法行政警察类,男):最低474分、位次是251794
3、中国刑事警察学院
公安情报学(政治)(公安学类,男):最低585分、位次是37499
涉外警务(政治)(公安学类,男):最低590分、位次是32966
侦查学(政治)(公安学类,男):最低591分、位次是32123
禁毒学(政治)(公安学类,男):最低585分、位次是37499
经济犯罪侦查(政治)(公安学类,男):最低611分、位次是17940
网络安全与执法(物理+化学)(公安技术类,男):最低627分、位次是10176
刑事科学技术(物理+化学)(公安技术类,男):最低614分、位次是16247
公安视听技术(物理+化学)(公安技术类,男):最低617分、位次是14643
数据警务技术(物理+化学)(公安技术类,男):最低623分、位次是11839
警犬技术(政治)(公安学类,男):最低567分、位次是57862