2024年佛山二模考试将于4月15日开始,为期三天。本次考试涵盖九个科目,包括语文、数学、英语、物理、历史、化学、地理、政治和生物。每科考试结束后,我们将迅速更新各科的答案,以方便同学们参考。

一、2024佛山二模考试安排
根据官方考试时间表,2024佛山二模考试将于4月15日至4月17日举行。
2024佛山二模考试各科目的具体安排如下:
| 2024佛山二模考试时间安排 | |||
|---|---|---|---|
| 时间 | 科目 | ||
| 4月15日 (星期一) |
上午 | 09:00-11:30 | 语文 |
| 下午 | 15:00-17:00 | 数学 | |
| 4月16日 (星期二) |
上午 | 09:00-10:15 | 物理/历史 |
| 下午 | 15:00-17:00 | 英语(含听力) | |
| 4月17日 (星期三) |
上午 | 08:30-09:45 | 化学 |
| 11:00-12:15 | 地理 | ||
| 下午 | 14:30-15:45 | 思想政治 | |
| 17:00-18:15 | 生物 | ||
二、2024佛山二模各科答案
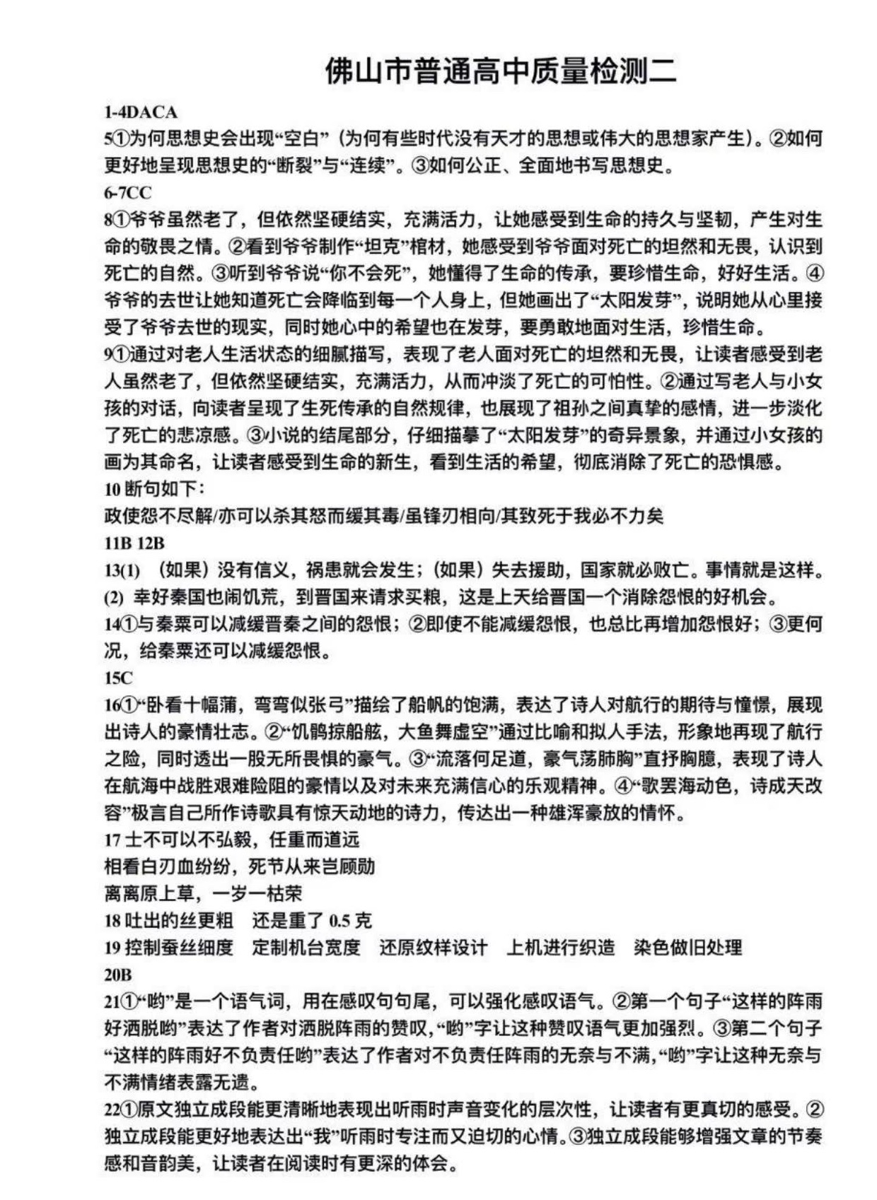
1.2024佛山二模语文答案
考试时间:4月15日上午9:00-11:30
答案及试卷解析:佛山二模语文答案及试卷解析将在语文考试结束后迅速更新,方便同学们核对试卷,回顾考试表现,了解考试题型。


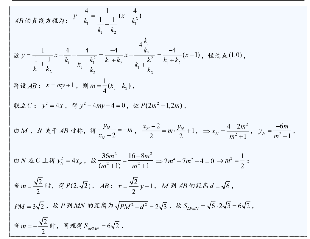
2. 2024佛山二模数学答案
考试时间:4月15日下午15:00-17:00
答案及试卷解析:佛山二模数学答案及试卷真题将在考试结束后及时更新,帮助同学们整理错题,调整考试心理状态。












3. 2024佛山二模英语答案
考试时间:4月16日下午15:00-17:00
答案及试卷解析:佛山二模英语答案及试卷真题将在考试结束后及时更新,同学们可以及时核对答案,了解考试情况。

4. 2024佛山二模物理答案
考试时间:4月16日上午9:00-10:15
答案及试卷解析:佛山二模物理答案及试卷真题将在考试结束后以最快速度更新,为同学们提供及时有效的估分支持。







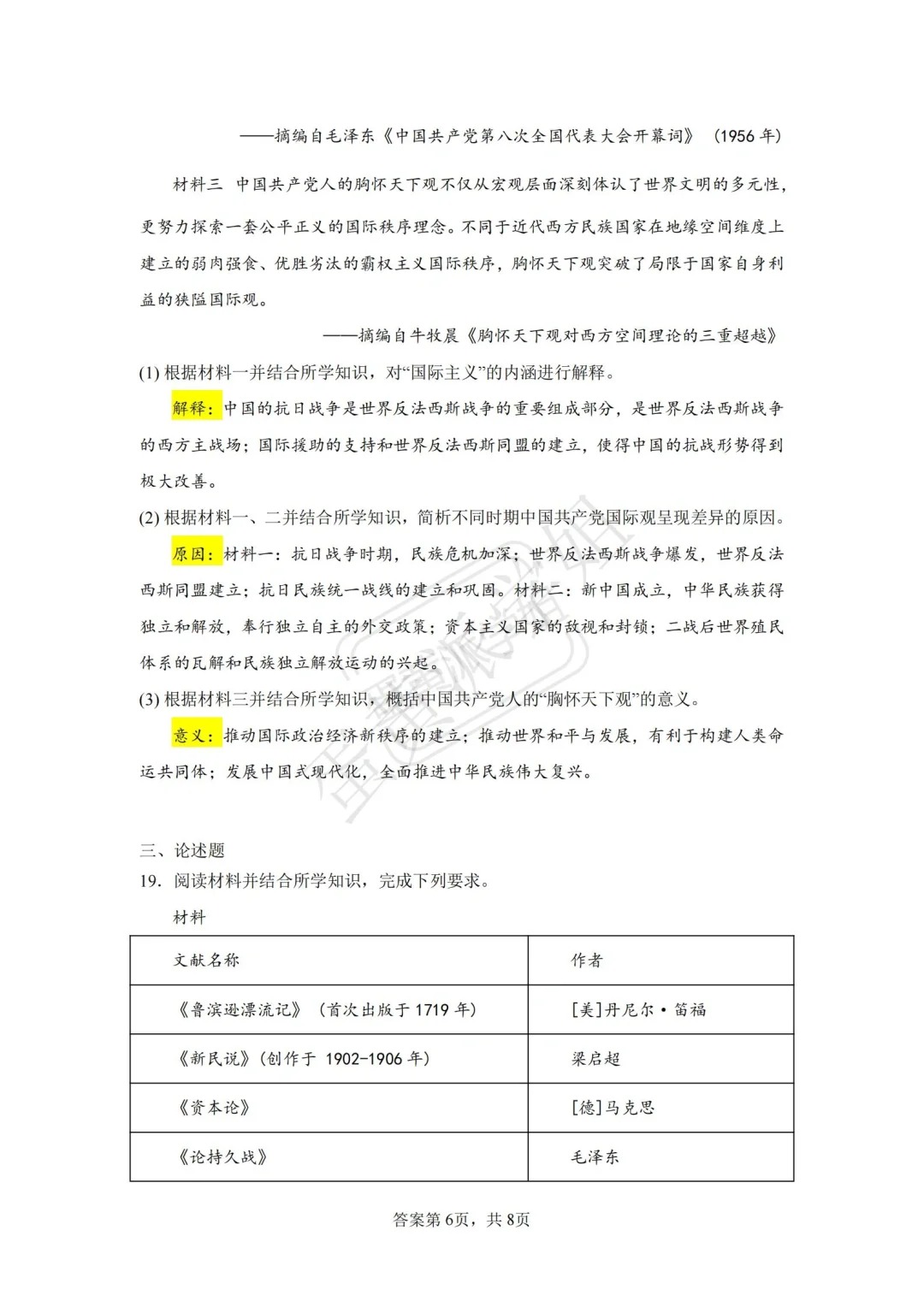
5. 2024佛山二模历史答案
考试时间:4月16日上午9:00-10:15
答案及试卷解析:佛山二模历史的答案及试卷真题将在考试结束后及时更新,确保同学们能够及时回顾考试内容,调整考试状态为下场做好心理准备。









6. 2024佛山二模化学答案
考试时间:4月17日上午8:30-9:45
答案及试卷解析:佛山二模化学的答案及试卷真题将在考试结束后及时更新,确保同学们能够及时回顾考试内容,整理化学错题。










7. 2024佛山二模地理答案
考试时间:4月17日上午11:00-12:15
答案及试卷解析:佛山二模地理答案及试卷真题将在考试结束后迅速更新,帮助同学们深入了解考试内容,提高地理科目水平。
8. 2024佛山二模政治答案
考试时间:4月17日下午14:30-15:45
答案及试卷解析:佛山二模政治答案及试卷真题将在考试结束后及时更新,同学们可以及时回顾考试不足之处,调整学习计划。
9. 2024佛山二模生物答案
考试时间:4月17日下午17:00-18:15
答案及试卷解析:佛山二模生物答案及试卷真题将在考试结束后以最快速度更新,为同学们提供及时有效的估分支持。